A long, long time ago, I was a very devout and fervent Pentecostal. Not coincidentally, I was also what people called, and still call, pro-life. That meant I wanted to criminalize abortion care, stigmatize non-marital sex, and relentlessly persecute and prosecute everyone involved with abortion–from supply to demand. Nowadays, I characterize this ideology as forced-birther rather than pro-life. But everything changed the night I got my little Pentecostal hands on what we now know today as a Pearson Manual. Forced-birther activists use this manual to open and operate fake women’s clinics all over the world. Well, one day, I got my hands on one such manual. It changed my life forever.
Today, let me tell you how. This story has been on my mind ever since that Supreme Court story broke. I hope you like what I’ve got for us today. Along the way, I’ll also offer you scans of a similar manual that a reader sent me a few years ago. You’ll get to see exactly how evil these activists are, and exactly why their ideology is so untenable.
What the Pearson Manual even is
Way back in 1967, according to a Mother Jones report, a forced-birther named Robert Pearson opened up the first Crisis Pregnancy Center (CPC) in Hawaii. It was a fake women’s clinic. If a woman made the grievous mistake of thinking it was a real clinic, she was in for quite a ride. He set the fake clinic up from top to bottom to manipulate those women into not aborting their pregnancies.
In 1984, Robert Pearson wrote a manual for other forced-birthers who wanted to open similar fake women’s clinics. And they took off like wildfire.
As of that report, there were somewhere between 2300 and 3500 CPCs operating in the United States. For reference, it says that only about 1800 abortion clinics were in operation. I strongly suspect it was written somewhere in the late 2000s.
The elusive Pearson Manual
As for the manual itself, it’s really hard to find examples of it online.
And I can guess why, too. A CPC owner screens volunteers for forced-birther fervor and ultimate TRUE CHRISTIAN™ religiosity. (Remember that flap a few years ago when an atheist forced-birther complained because she couldn’t volunteer at her local CPC? It was a hoot. It’s like she had no idea that the CPC is primarily about forcing women to follow TRUE CHRISTIAN™ rules and submitting to TRUE CHRISTIAN™ control. Forcing them to gestate was and is just the easiest way to accomplish those goals.)
The manual contains no copyright notices nor injunctions against reproduction. In fact, it contains scans that look like copyrighted work without citing any permission to do it. Despite all that, it asks volunteers to pinky swear they won’t let anyone see it.
And it seems like most volunteers do follow that rule. I only got my hands on a CPC manual because my then-husband Biff, who volunteered for them, left it at our apartment one fateful night. When I talked to some people doing a documentary about the forced-birther movement, they’d heard of the manual, but had never seen one. At least, they hadn’t until they ran into me.
Sender’s Manual
A few years ago, a reader we’ll call Sender emailed me to ask if I was interested in a PDF scan of their Pearson Manual. They’d been a volunteer at a CPC, but had deconverted. Now, they viewed the CPC as evil to the core–just as I did after reading their manual. I answered: Please, yes!
Sender’s particular CPC was and is as prototypical as it gets. I easily found it. At the time I got the manual, it still operated in the same place: a college town in a medium-sized Midwestern city, within easy walking distance of the main public college and literally around the corner from an actual real women’s clinic. The CPC’s name was strikingly similar to the real clinic’s name, as well. That CPC did not make up its name by accident, either. It’s a common strategy for fake clinics.
At the time, I’d had in mind to discuss the entire manual, section by section. However, the vibe I got from commenters after a few posts seemed to indicate they were ready to move on. I reckon there’s only so many times I can say the CPC lies and manipulates women. So, I respected that vibe, but I’d sometimes drop a scan into a post from time to time, or refer to it.
Oh, and I wanted to make a quick note here. Sender’s manual doesn’t look exactly like the one I read. It’s clearly had some updates. The one I read was all black and white pages, with occasional primitive line drawings interspersed among the pages: babies, rainbows, storks, flowers, you get the idea. Mine was also primarily just photocopies of typing and extremely primitive word-processing output. Sender’s has more sophisticated typesetting and layout. And the reprinted copyrighted work, the news articles and all that, is newer than what my manual contained.
Overall, though, it’s as close as makes no nevermind.
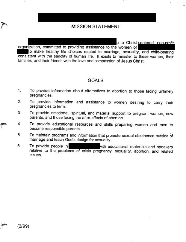
Pearson Manual Section One: Yes, they are super duper religious.
That atheist gal who wanted to volunteer at a CPC didn’t understand just how religious whackadoo these people are. This section should make that association crystal-clear.


The underlining was in the original. All I’ve done is box and black out identifying info.

This whole CPC project belongs to a big evangelical group in the area. Interestingly, this CPC makes clear in this section and all the ones to follow that they see themselves as the patriarchal daddies of their clients. As I said, they’re there to harness and corral those women into TRUE CHRISTIAN™ behavior and beliefs. Forcing them to gestate is just the easiest path to the goal. I doubt that any real, legitimate women’s health clinic would ever have all this weird stuff in their prologue pages.
Pearson Manual Section 2: Counselor requirements, and yes, they are super duper religious
Next up, we have a few yellow pages. These outline requirements for counselors. The section ends with a signed agreement page.



Yes, that last page is most definitely unsigned!
This reminds me of when Boogie’s ex Dez pointed out that she’d never signed an NDA, and thus she could talk about their past relationship all she wanted. Similarly, Sender’s CPC sent them home with a manual, and no signed agreement not to share it. Oopsiedoodleboodle!
How I got my hands on this manual
As I mentioned earlier, the CPC was very protective of their manuals. Biff used to carry his everywhere he went. I mean everywhere. He was supposed to never be out of eyeshot of it, nor arm’s reach. It’s not like he hovered over it like a vulture or anything, or warned me off. He just had made it clear that it was private and only for officially-vetted CPC volunteers.
But one night, he left for his fake counseling volunteer shift without it. He left it on the coffee table. It was right there, beckoning me.
I was hard up for reading material, and I’d always been curious about it. So, I read it. It didn’t even occur to me that it’d say anything that would bother me. Why would it? I had truth on my side and reality informing all of my opinions about abortion and religion and all that. Really, I had nothing to fear as I opened the manual to its first page.
I read the whole thing cover to cover.
And I deconverted a few hours later.
What you’ll find in a Pearson Manual
Overall, you will find everything a forced-birther needs to know to participate in anti-abortion crusading.
Here, for example, are the next few pages. They deal with various Christian clobber verses that forced-birthers erroneously think make their god a forced-birther who cares enormously about babies.
- p7: Astonishingly mangled and misused Bible verses.
- p8: Extremely tortured contortions of various Bible verses.
- p9: How does God sat [sic] we should treat His children? Bonus: it refers to abortion as a form of child sacrifice. Nope, nobody’s using dehumanizing or strawman language here!
- p10: More clobber verses.
- p11: Key clobber verses, continued.
- p12: Abortion and the Bible.
Obviously, this is all stuff that a real live women’s clinic needs to ensure its volunteers know. Yep!
Even when I read my own earlier version of the Pearson Manual, it contained this kind of mangling and misusing of Bible verses. And I knew it was mangling and misusing them!
Fake timelines and surreal emotional manipulation
The next section, which I’ve called the “timeline” section, centers around the CPC’s extremely weird conceptualization of pregnancy. You’ll notice that the timeline does everything it can to make a fetus sound like it’s a whole new person with their own life and everything by oh, about two weeks after fertilization. I’m not kidding at all.
They think if they can make a fetus sound like a real live person already, then that makes it okay to strip pregnant women of their bodily rights.
- p13: Timeline 1, including this: “At 17 days, the new life has developed its own blood cells; the placenta is a part of the new life and not of the mother.” It’s like they think women carry fetuses in shopping bags for nine months.
- p14: Timeline 2, detailing “first trimester abortions.” Their disgustingly dishonest discussion of a very healthy, normal, and safe procedure could easily invoke nightmares in anyone who’s unfamiliar with what really happens in a first trimester abortion.
- p15: Lies about suction abortions.
- p16: Lies about D&C abortions.
- p17: Second trimester abortions. More of the same.
- p18: Finishing up with “prostaglandin abortion.” Bear in mind, when this was made in the late 1990s or so, medication abortions were barely even a thing. The morning-after pill was barely even on the forced-birther radar. So they probably felt very safe talking like this.
The manual I read contained much this same information. And even then, even at that stage in my life, I knew that abortion was one of the safest procedures anyone could have done–as long as it was done in an environment where abortion was legal and accessible. So even by now, I was getting very, very disturbed by what I was reading.
It’s really surprising to see how very little about Sender’s Manual is different from Biff’s. Aside from some font and typesetting differences, they contain remarkably similar information.
Losing my religion
I’m going to have to add the other scans later on. Over the weekend, I’ll put up a metapost with all of the links to the uploads. For now, I’ll say this:
The manual I read, like Sender’s Manual, contains the very best shot that forced-birthers could possibly make for their ideology. And even in the mid-1990s, I knew that the best they could do was nonstop lies. I knew that nothing they said was true. It was either slanted and misstated to the point of being a caricature of reality, or else it was completely untrue. And it seemed to me that anyone operating a health clinic, which is what I thought the CPC was, should have known it.
This manual, like the one I read, contains a lot of misinformation about stuff like contraception and sex itself. Both manuals talk extensively about so-called abortion regret syndrome, a made-up mental illness that forced-birthers think justifies the criminalization of abortion. They also both contain so much bullshit about adoption that one might well come away from reading it thinking that the CPC is involved in some kind of baby trafficking operation.
When I finished the manual, I remember closing it with my eyes overflowing with tears. I was absolutely crushed and heartbroken. The CPC was supposed to have our god on its side. But their manual indicated nothing but very earthly manipulation and dishonesty.
The most important thing in the world
Right then, as I finished the manual back then, I realized something important:
Something that is true and real and good does not need lies to support itself. If its proponents lie, especially as a matter of course, then chances are good that their position is not based on truth, reality, or goodness.
And then, my attention turned toward my religious faith.
You see, I couldn’t help but notice that the CPC manual’s arguments went along the exact same lines as my religious leaders’ teachings. For years, I’d noticed that the leaders of different flavors tended to mangle and misuse Bible verses. Heck, two different Christians could even use the same Bible verse to justify their position, but just interpret it radically differently!
And I’d noticed the large number of manipulative tactics within evangelism and what we called soulwinning. The religion I’d been sold did not look anything like the religion as I was told to practice it. I even hesitated to evangelize because I couldn’t be honest about how miserable I was as a Pentecostal. But whenever I mentioned that the marketing never lived up to the reality of Christianity, I got told that my disappointment was a me problem. I got criticized for wanting anything more than Heaven. How dare I expect Jesus’ marketing team to be honest??? Was I not happy just going to Heaven and avoiding Hell? Hmph!
That night, I could feel my faith shredding itself to flinders and blowing away on the wind. So, I did exactly what my religious leaders said to do in this situation: I threw myself at my study Bible. Dropping the manual, I fled to the Bible. I’d study it, and gain the comfort everyone said would automatically come to anyone who asked for it. My topic of study was prayer.
A few hours later, I realized I was no longer Christian at all. If Hell existed, then the situation was what it was, because I could no longer pursue Christianity. I knew now that none of it was based in reality at all.
So the Pearson Manual helped me get free of both false belief systems
In a lot of ways, then, the Pearson Manual helped me break free of both Christianity itself and the forced-birther ideology. So in a weird way, I guess I’ve got it to thank for that. If its creators had cared about the real live truth, then maybe things would be different today. But they didn’t, and they don’t.
With the anniversary of Roe v Wade coming up, this seemed like a very good time to revisit this story. Forced-birthers are not trying to rip away women’s rights because they really care about fetuses. They don’t. The end of the Pearson Manual will show you that in spades; it is absolutely disgusting in every single way, and especially in how little regard they really have for the women and children who fall into their clutches.
Rather, what forced-birthers care about is subjugating women. Period. They just know that abortion functions as a sort of central linchpin of rights. It binds together all kinds of human rights within one little package, so to speak. So if they can criminalize and stigmatize abortion, then they’re halfway to their dream of a real-life Republic of Gilead.
That is what we fight for. Nobody has to like abortion. I do, but nobody else has to agree! Nobody even has to agree that it’d be something they’d ever do in that situation. However, because of its position as a center pin of human rights, it needs to be legal and easily accessible by anyone who wants or needs it. A world where abortion is illegal is not a world any of us really wants to live in — not even forced-birthers themselves, who get abortions at about the same rate as anyone else in their respective countries.
How you can support Roll to Disbelieve
And now, here are some ways you can support my work:
- Patreon, of course, for as little as a dollar a month! I now write Patreon posts twice a week, on Tuesdays and Thursdays, with patrons getting early access 3 days ahead of regular readers.
- Paypal, for direct one-time gifts. To do this, go to paypal.com, then go to the personal tab and say you want to send money, then enter captain_cassidy@yahoo.com (that’s an underscore between the words) as the recipient. It won’t show me your personal information, only whatever email you input.
- My Amazon affiliate link, for folks who shop at Amazon. Just follow the link, then do your shopping as normal within that same browser window. This link adds nothing to your Amazon bill, but it does send me a little commission for whatever you spend there.
- And as always, sharing the links to my work and talking about it!
Thank you so much for listening, reading, and being a part of Roll to Disbelieve!
0 Comments